Home
About Us
View Prospectus
SSR (NAAC)
Contact us
Mandatory
Affidavit
NCTE Letter
NCTE Website
MU Bodhgaya
BSEB Patna
Academic/Technical Staff List
Letter - Bio metric attendance
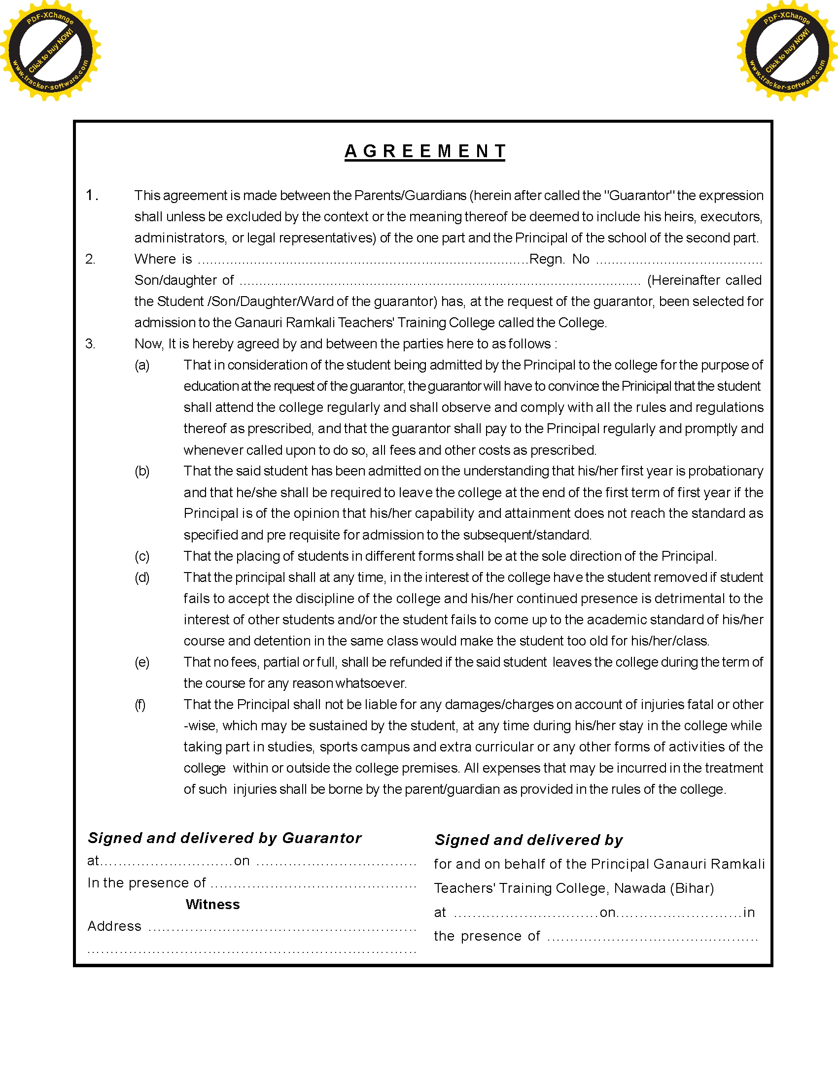
Admission Form
Fee Structure
Student
Student 2012-13
Student 2011-12
Student 2010-11
Student 2009-10
Result 2011-12
Result 2010-11
Result 2009-10
Updates
Students M.Ed 2020-22
Students M.Ed 2019-21
Students B.Ed 2020-22
Students B.Ed 2019-21
Students D.El.Ed 2020-22
Students D.El.Ed 2019-21
Teaching Staff - M.Ed
Teaching Staff - B.Ed
Teaching Staff - D.El.Ed
Details of Management
Infrastructure Details
Balance Sheet
Income & Expenditure
Receipt & Payment
Notice
Important Notice
News and Events
Time Table
Academic Calendar 2020-22
Academic Calendar 2019-20
Calendar - MU Bodhgaya
Calendar - BSEB Patna
Gallery
Ganauri Ramkali Teacher's Training College, Nawada (Bihar) - SSR (NAAC)
×